Friday, June 24, 2016 6:01:14 PM
Jeremy Cain PhD
Deep value, special situations, activist investor, alternative energy
Summary
•A recent filing by the Treasury’s attorneys seeking to block the entrance of 53 unsealed documents contains some very serious errors.
•These errors mislead the Court's understanding about the GSEs’ financial earnings and health, as well as the financial windfalls that Treasury has enjoyed.
•If the DoJ and Treasury actions were intentional, then the defense's chances of winning became very bleak. Admitting these documents will most likely seal a victory for the plaintiffs.
•Investors should pay close attention to how the Court rules. A victory in Court of Appeals could propel the GSEs 1 big step closer out of conservatorship.
Introduction:
The Perry Capital et al. vs. Jacob J Lew et al. case is currently in the Court of Appeals (D.C. Circuit). It involves investors in Fannie Mae (OTCQB:FNMA) and Freddie Mac (OTCQB:FMCC) Briefs were filed before the case went to oral arguments on 4/15/2016. Just before the case went to oral arguments, the plaintiffs were granted admission of 7 unsealed documents (see documents under April 13, 2016) from the Court of Federal Claims (Fairholme Funds Inc. et al. vs. FHFA et al.). That case has been in the discovery phase for quite some time. Many documents have been produced so far, but 11,000 documents remained sealed from the plaintiffs under executive privilege claims. Judge Sweeney should be ruling on the validity of privilege soon. From Judge Sweeney's previous comments, it appears that the defense has an uphill battle to climb to keep those documents from ever seeing the light of day. UVA Law School Professor Saikrishna Prakash has clearly articulated why there needs to be some sunshine on those court documents in the litigation.
In the last several weeks, Judge Sweeney has granted other unsealed documents to be given to other GSE lawsuits. This caused plaintiffs in Perry Capital et al. to seek those 53 additional documents being added (see documents under May 11, 2016) to the record in the Court of Appeals case. Although it would have been nice to have them admitted to the record before oral arguments, adding them now would still be beneficial since these documents severely impair the arguments that Treasury and FHFA made to the Court. Thus, Treasury and FHFA have opposed these documents being added to the record. Plaintiffs have responded to their opposition.
The purpose of this article is to examine three statements made by the DoJ lawyers in their opposition to admit the 53 unsealed documents to the Court. This article seeks to set the record straight on these points.
1. Statement 1: GSEs' Emergence From Conservatorship
"Plaintiffs also assert that the additional documents they seek to introduce demonstrate that Treasury agreed to the Third Amendment to ensure that the GSEs would not reenter the market as private entities. Pls. Mot. 2-4. In fact, the documents reflect efforts to head off a misperception that the Third Amendment was a bad deal for taxpayers because it eliminated the fixed dividend or that it was inconsistent with the Administration's commitment to comprehensive reform." (pg. 5; lines 8-13) The defense attempts to prove that the plaintiffs claims are not supported by the documents and that they support the defense's claims (i.e., that the Third Amendment was NOT used as a means to prevent them from reentering the market as private entities). This could not be further from the truth. The defense attorneys boast that the documents "head off a misperception that that the Third Amendment was a bad deal for taxpayers." These remarks were taken from Treasury's pre-decisional document on the 3rd Amendment (PSPA Amendment Q&As, Treasury Bates start # UST00554581), which is one of the most damaging documents to FHFA and Treasury's defense. What is appalling about their claim here is that right after those comments (in answer to question 1) the Treasury gives support for the plaintiffs: "Q: Aren't you giving up a 10 percent dividend owed to taxpayers to prop up the GSEs? A: This is wrong. We are putting in a better deal for taxpayers. This is because, going forward, each of these entities pays the taxpayer back all the profit they make -- not just a 10 percent dividend...And when the GSEs make a profit, as they did last quarter, they don't have to pay all that back to taxpayers. The new arrangement changes that -- it ends the shell game and makes sure that all profit goes where it should, to repaying taxpayers." (Q&A 1; pg. 3 / UST00554583) Another unsealed document which unequivocally proves the plaintiffs claims and discredits the defense is in another unsealed Treasury document (Bates start # UST00503991). In an e-mail from Jim Parrott (White House official) to Timothy Bowler (Treasury official), Parrott states that "we've closed off possibility that they every go (pretend) private again." (pg. 1) In another e-mail from Jim Parrott, he states to Adam Rice (Rep Garrett staff) that "we're not reducing their [GSEs'] dividend but including in it every dime these guys make going forward and ensuring that they [GSEs] can't recapitalize." (pg. 2) There are many other examples in the 53 unsealed documents which support the plaintiffs claims and prove that the defense's statement is erroneous.
What is odd about DoJ's argument at the end of that quote (which continues on in the document), is that it tries to rebuke the claim that there was nothing wrong with what they did since it was in line with the Obama Administration's call for a wind down. This is quite alarming. Just because the President has a plan to wind down the GSEs doesn't make it legal for him to carry it out. All branches must operate in the context of the law which respects property rights (shareholders, etc.). It is ultimately the Court which will decide if the actions were legal or illegal. The Court will not simply take DoJ's word that those actions were ok simply because it was the President's will.
2. Statement 2: Defense Claim of Only 7.5% Return
"Plaintiffs also reiterate their mistaken assertion that the Third Amendment allowed taxpayers to "reap massive, windfall profits." Pls. Mot. 5. The facts again show otherwise. Between 2008 and 2011, Treasury invested $187.5 billion in the GSEs. J.A. 2411 (TR4351). Through the first quarter of 2016, Treasury has received $245.6 billion in dividends, which equates to an annual rate of return of around 7.5%. Given the size and risk of Treasury's investment into the failing enterprises-an investment private investors were unwilling to make-a 7.5% annual return is far from a windfall. Indeed, a 7.5% annual return is below what plaintiffs have historically earned for their investors...Perry Capital's flagship fund has produced a net annualized return of 12.58% since its inception, while the 'offshore' version has produced 11.65% annual returns)." (pg. 6 [line 13] to 7 [line 5]) In an attempt to downplay the importance of the financial windfalls that Treasury has reaped from the GSEs (i.e., plaintiffs claims), the DoJ lawyers state that Treasury has only obtained a 7.5% annual return on their investment. Once an understanding of how Treasury arrived at a 7.5% annual return rate, the following will be clear: 1) it is a grossly inaccurate annual return rate, 2) it is approximately 4 times lower than the true average annual return that the GSEs have paid back since going into conservatorship (26-28%), 3) the calculation is performed under gross assumptions that are not relevant to the situation and ones that Treasury have emphatically rejected. To prove this, there are four sets of figures and points that will be presented in regards to the GSEs' financials and return rate calculations:
Senior Preferred Stock Purchases Prior to NWS:
The financial data in regards to senior preferred [SP] stock purchases, dividend payments, etc. are readily available to the public. The data presented throughout this article were obtained from ProPublica, and are presented in Appendix A for reference purposes. The data matches up with values given by the FHFA OIG.
Figure 1 below shows the quarterly (top panel) and cumulative (bottom panel) draws of Fannie Mae and Freddie Mac from the outset of conservatorship in September 2008 until the time of the NWS in August 2012. There were two reasons why the enterprises purchased senior preferred stock from Treasury: 1) to cover quarterly financial losses, 2) to pay Treasury a quarterly 10% dividend on its outstanding senior preferred stock. Figure 2 shows the cumulative draws by both enterprises divided into these two categories (dividends and losses). Up to 2Q12 (just prior to NWS) the stock purchases for both GSEs are divided into $141.8 billion ($51.2 B - Freddie Mac; $90.58 B - Fannie Mae) and $45.7 billion ($20.1 B - Freddie Mac; $25.6 B - Fannie Mae) for losses and dividend payments, respectively.
(click to enlarge)
Figure 1 - Treasury senior preferred stock purchases made [a] on a quarterly basis and cumulative purchases made. Purchases are made up to the NWS.
(click to enlarge)
Figure 2 - Senior preferred stock purchases made by both GSEs (color) broken down into stock to pay for losses and Treasury's 10% dividend. The right panel shows the amount of stock purchases made for loan losses ($141.8 billion) and Treasury's 10% dividend ($45.7 billion).
Dividend Payments After NWS:
Now let's look at the financial data before and after the NWS to get a fuller picture of the enterprises' financial health. Figure 3 presents a picture of the GSEs' financial health before and after the NWS. As shown in the top panel of Figure 3, the GSEs purchased $45.7 billion ($20.14 B - Freddie Mac; $25.57 B - Fannie Mae) in senior preferred stock before the NWS to pay Treasury for it's 10% senior preferred dividend on stock purchases for losses of $141.78 billion ($51.2 B - Freddie Mac; $90.58 - Fannie Mae). Since the NWS was implemented, the enterprises have combined to pay $200.07 billion ($78.03 - Freddie Mac; $122.04 - Fannie Mae) in dividends. As Figure 3 shows in the top panel, there is a big spike in dividends paid in 2Q13 and 4Q13 (recall that dividends are paid ~ 1 quarter later than earned); thus, large earnings were in 1Q2013 (Fannie Mae) and 3Q2013 (Freddie Mac). Part of why this one-time gain is important is that it tremendously impacts Treasury's senior preferred holdings via amortization.
(click to enlarge)
Figure 3 - GSE financial data before and after the NWS: [a] quarterly dividend payments due to Treasury, senior preferred stock held by Treasury under the NWS agreement and if dividends were used to pay off Treasury stock, [c] dividends paid minus senior preferred stock.
Amortization of Senior Preferred Stock:
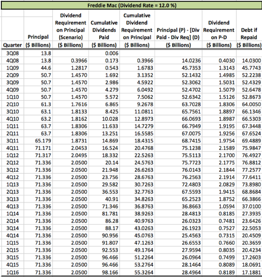
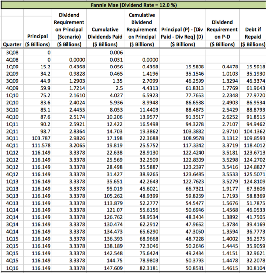
Consider the middle panel of Figure 3. It shows where the senior preferred stock holdings of Treasury would be with and without the NWS, assuming that the money counted as dividends under the present agreement went to paying off Treasury's senior preferred stock (i.e., amortization was realized at full capacity). Under the NWS, Treasury still holds $187.5 billion ($71.34 B - Freddie Mac; $116.15 B - Fannie Mae) in senior preferred stock. If the original dividend arrangement were maintained, Treasury's senior preferred stock holdings would be down to $22.94 billion ($6.69 B - Freddie Mac; $16.15 B - Fannie Mae) as of 1Q16. The bottom panel of Figure 3 shows how the enterprises' profitability has changed over the course of the conservatorship. Subtracting dividends from senior preferred stock (counting dividends as senior preferred stock prior to NWS) shows that the enterprises took a sharp decline initially upon going into conservatorship; further losses were less intense, and it appeared that the debt was asymptotically leveling out (i.e., not growing but reaching a constant value). After the NWS the revenue increased dramatically and the GSEs were able to pay significant amounts back to Treasury as dividends. Overall, the enterprises purchased senior preferred stock of $187.5 billion before the NWS and have paid back $200.1 billion in dividends after the NWS. This brings the total amount of dividends to $245.8 billion (recall that $45.7 billion of the $187.5 billion before the NWS was for dividends), which is $104 billion more than what the GSEs purchased in senior preferred stock to cover their losses!
Calculating Annual Return on Investment:
The previous discussion on amortization shows how the GSEs' large earnings after 2Q12 (i.e., post-NWS implementation) could have dramatically lowered Treasury's outstanding SP stock and the GSEs' dividend payments if the NWS were not implemented. This serves as the beginning of this section's culmination. Recall that DoJ lawyers claimed that Treasury has only received a 7.5% return on their GSE investment. Before showing how Treasury has intentionally calculated that value under gross assumptions (amortization), I will show what the accurate calculation is.
The GSEs paid Treasury a 10% dividend prior to the NWS and a variable dividend (net worth minus diminishing buffer) after it's implementation. For a given principal amount [P], a quarterly dividend amount [Dq] can easily be calculated at a particular dividend rate [R]:
Alternatively, if we know the amount of quarterly dividends paid and the outstanding principal, the annual return rate can be solved for, as given below in equation 2:
Equation 2 is used to mathematically calculate the annual return rate for Fannie Mae and Freddie Mac. Values are presented in Appendix B, and shown graphically below in Figure 4. The figure shows that the annual dividend rate is well above the 10% dividend rate Treasury received prior to the NWS. In fact, both GSEs have given Treasury approximately 10% or more for 10 quarters since the NWS (1Q2013 to 1Q2016), while they have given less than 10% in only 3 quarters. Moreover, both GSEs have on average given well above Treasury's claimed 7.5% since the start of the conservatorship through 1Q16; average values determined by algebraic or calculus-based methods (integrating the dividend rate curve) are 26.0% (Freddie Mac) and 27.9% (Fannie Mae).
(click to enlarge)
Figure 4 - Calculated annual dividend rate for GSEs. A break in the y-axis is done to show the large values for the enterprises in 2013.
Now that it has been observed what the correct average annual return Treasury has earned from the 10% dividend and NWS, we turn our attention to how DoJ and calculated Treasury's value. The brief given to the Court provides no information to how the value was calculated; they simply report the value. However, it is rather easy to determine how DoJ attorneys calculated this value. Recall from Figure 3 that amortization applies payments to principal reduction, causing the principal and dividend amount to decrease. Figure 3, however, only shows amortization applied to the GSEs debt when they become profitable in 2012. If the dividend rate is at a different value from the onset of conservatorship up to 1Q16 (the point in time of interest), then it can be determined what the annual return rate needs to be to cause the principal to be paid off in 1Q16 for the dividends given to Treasury. In other words, this is an amortization calculation that utilizes the full earnings of the GSEs to pay off their debt in 1Q16.
(click to enlarge)
Figure 5 - Amortization of combined GSE debt for various dividend rates (color scale). The contour plot is for illustrative purposes only; plot features deviate slightly from actual data due to contour data & boundary rendering.
Figure 5 above shows how the principal grows and diminishes with the draws (due to losses and dividends) and dividend payments that the GSEs make under various dividend rates (0-15%). The date in which the GSEs pay off Treasury's senior preferred stock goes further out into the future as the dividend rate increases. Figure 5 is for illustrative purposes only (see caption). Figure 6 provides accurate values for amortization date at the various dividend rates.
(click to enlarge)
Figure 6 - Amortization dates at various dividend rates for [a] both GSEs combined and Fannie Mae and Freddie Mac (colors) individually. Star symbols represent lowest annual return rate for amortization in 1Q16.
The top panel of Figure 6 provides data for combined financials (draws, dividend payments, etc. for both GSEs), while the bottom panel shows values for each GSE individually. Amortization tables are provided in Appendix B for select dividend rates for each GSE and combined GSEs. In the document of interest (#1618181), DoJ lawyers described the 7.5% in terms of overall draws and returns for both GSEs. This is consistent with the amortization value of 7.5% shown in Figure 6 for both GSEs combined. Freddie Mac had a higher annual return of 8.25%, while Fannie Mae had a lower return rate of 7.0-7.25%. There is no other way in which DoJ or Treasury could have calculated and reported to the Court a return rate of 7.5%; any other method used would have given a different return rate. It has been shown that an accurate average annual return rate is 26-28%, which are much higher than DoJ's reported 7.5%. There are two areas that now need to be addressed: underlying assumptions of DoJ's calculation and their motive.
First, consider the assumptions made by DoJ in their amortization calculation. They assume two things that are void of any reality in calculating a return rate using this schema (amortization). One is the return rate. The GSEs paid a 10% dividend prior to the NWS and a variable dividend after it. As shown in Figure 4, the actual dividend rate the GSEs have paid to Treasury are much higher than this. Second is the amortization of debt. This is absolutely void of reality in multiple ways. First, there has been absolutely no amortization (payment of principal) since the NWS. Treasury takes nearly all of the GSEs' profits every single quarter. The FHFA and Treasury altered the Senior Preferred Stock Purchase Agreement so that all of this money is counted as a dividend and does not go towards paying off Treasury's senior preferred stock. There has been no amortization by design. This is the reality of the NWS; amortization of SP stock is not reality by the design of FHFA's and Treasury's actions in the Third Amendment. Second, amortization is something that Treasury officials and members of the Congress readily acknowledge has not occurred. Congressman Jeb Hensarling has stated "Fannie and Freddie have not 'repaid' taxpayers one thin dime. Reports to the contrary are pure Washington spin." The New York Federal Reserve Bank and Atlanta Federal Reserve Bank have both denied that any repayment has occurred since the inception of the NWS. Moreover, when Treasury announced the Third Amendment, it stated that "...the GSEs will be wound down and will not be allowed to retain profits, rebuild capital, and return to the market in their prior form." Treasury Secretary Counselor Antonio Weiss claimed in October 2015 that Treasury has not been paid back it's debt. Most importantly, Treasury Secretary Lew testified before Congress (House Financial Services Committee) in March 2015 that no amortization has occurred. This is a small portion of Lew's testimony before Congress; a full recording may be found here. Congressman Michael Capuano stated that the GSEs borrowed $187.5 billion and have since repaid $225.5 billion, which is a $40 billion profit. He then asked Secretary Lew what Treasury has done with the profit. Secretary Lew answered "Congressman, as you know, it becomes part of federal receipts and general funds." Lew went on to say "As a practical matter it's part of what has helped us reduce our overall deficit." Furthermore, since Treasury has already spent the money that the GSEs have already given Treasury, any recapitalization would require finances from Treasury. Michael Stegman (a former senior policy advisor at the White House) has stated multiple times (for example, see here) that the Obama Administration opposes any type of recapitalization of the GSEs. This was also stated by Treasury in it's announcement of the Third Amendment (see earlier). Third, the amortization schema is not even supported by any of the unsealed documents that show Treasury and FHFA's motivation for implementing the Third Amendment. An example of that was previously given (PSPA Amendment Q&As, Treasury Bates start # UST00554581), where Treasury stated "We are putting in a better deal for taxpayers. This is because, going forward, each of these entities pays the taxpayer back all the profit they make -- not just a 10 percent dividend...And when the GSEs make a profit, as they did last quarter, they don't have to pay all that back to taxpayers. The new arrangement changes that -- it ends the shell game and makes sure that all profit goes where it should, to repaying taxpayers."
All of this evidence tells a completely different story than the assumptions used to calculate a 7.5% annual return rate by DoJ: 1) the assumption of a 7.5% dividend is void of the actual dividends that the GSEs have paid, 2) amortization of senior preferred debt is also void of reality since it does not represent the dividend payment that FHFA and Treasury implemented in the NWS (reality), it is one that Treasury and others government officials have rejected to have occurred, and it is contrary to the stated intention of Treasury's and FHFA's actions displayed in public and unsealed Court documents. This begs the question as to why DoJ lawyers would ever report to the Court such a low annual return rate. A value of 7.5% is approximately four times lower than the actual value of 26-28%; no simple math error could account for such a gross misstatement, the only logical conclusion is that DoJ has intentionally misled the Court in an attempt to downplay the windfall that the NWS has given Treasury and the financial condition of the GSEs.
3.Statement 3: Defense Claim Lower Interest Under NWS Than Without It
"As their sworn statements in the GSEs' August 2012 Securities and Exchange Commission (SEC) filings indicate, the GSEs' executives anticipated that they would not earn enough over the long-term to pay Treasury's 10% dividend and would have to draw down the commitment to pay future dividends. See id. at 10, 45. That prediction has proven accurate: the GSEs have failed to earn sufficient income to pay what they would have owed Treasury under the original 10% dividend obligation in five of the last six quarters.2" Footnote 2: "2See Fannie Mae 2016 1Q 10-Q at 14; Fannie Mae 2015 10-K at F-93; Fannie Mae 2014 10-K at F-100; Freddie Mac 2016 1Q 10-Q at 7; Freddie Mac 2015 10-K at 329; Freddie Mac 2014 10-K at 239; Treasury Resp. Br. 9-10 (under 10% fixed dividend, Fannie Mae owed Treasury $2.9 billion per quarter and Freddie Mac owed Treasury $1.8 billion)." (pg. 3 [line 13] to pg. 4 [line 2]; Footnote 2 on pg. 4). DoJ lawyers are essentially claiming here that the dividend payments which the GSEs have paid under the NWS have been less than those which would have been required under the original 10% dividend obligation. They claim that this is the case for the last 5 of 6 quarters. To examine this statement, a further discussion of the GSEs financials will be given.
Recall from Figure 3 that the enterprises have combined to pay $200.07 billion ($78.03 - Freddie Mac; $122.04 - Fannie Mae) in "dividends" since the NWS was implemented. Under the NWS, Treasury still holds $187.5 billion ($71.34 B - Freddie Mac; $116.15 B - Fannie Mae) in senior preferred stock. If the original dividend arrangement were maintained, Treasury's senior preferred stock holdings would be down to $22.94 billion ($6.69 B - Freddie Mac; $16.15 B - Fannie Mae) as of 1Q16. These are the two dividend payment scenarios that Treasury is comparing in its statement: dividends made under the original 10% rate and under the NWS. If the GSEs had been able to realize their tax deferred assets and all other profits, and use them to pay off the senior preferred shares held by Treasury, then dividends owed to Treasury would have markedly decreased! This is clearly shown in Figure 7, whose data is given in Appendix C. The figure's top panel shows how the dividend at a rate of 10% and under the NWS changes the dividend payments. The data in the top panel is consolidated on an annual basis and displayed in the bottom panel. Both panels display the same message: both GSEs have paid MUCH MORE in dividends each year (or partial year) and nearly every quarter under the NWS than they would have if only the 10% dividend were paid since the NWS was implemented! That means that for 16 straight quarters (4 years) both enterprises (excluding 4Q15 and 2Q16 for Freddie Mac) have given more money under the NWS than they would if the original plan remained in place! Overall, Fannie Mae and Freddie Mac have paid $200.1 billion in dividends since the NWS, while the original 10% dividend would have paid Treasury only $33.55 billion. Moreover, in the past 6 quarters the GSEs have paid $13.48 billion MORE under the NWS than the 10% dividend ($7.21 B vs $2.32 B - Freddie Mac; $13.14 B vs $4.55 B - Fannie Mae)! Again, the analysis presented here does not line up with the statements made by DoJ and Treasury in the court brief.
(click to enlarge)
Figure 7 - Dividends under NWS and original 10% rate paid to Treasury after NWS implemented for Freddie Mac (FMCC; red) and Fannie Mae (FNMA; blue): [a] quarterly payments, yearly totals. The y-axis is shown on a log scale for clarity.
DoJ lawyers are making comments on comparisons of the latest quarters of earnings. But what about the total earnings? The SEC statement they reference is before the NWS. However, their calculations do not consider the financial information that is relevant to an accurate calculation. Overall, Figure 7 shows that the NWS has given Treasury $200.1 billion in dividends, which is much more than the $33.55 billion (83% less!) they would have received if all funds were used to buy back the senior preferred stock. Moreover, even if the GSEs had retained all their earnings minus their dividend, they would have $125 billion in capital reserves and have paid $70.3 billion to the Treasury in dividends! Again, the financial windfall the NWS has afforded Treasury is substantial: maintaining the original 10% dividend would have resulted in 65-83% less in dividends than the NWS. Thus, there is no scenario in which the NWS worked out better for the GSEs than the original agreement (10% dividend).
Motivation:
It appears that there are two different narratives being told. The first is by the defense. They proclaim that the windfalls haven't been very good for Treasury, and that the NWS was a better deal for Fannie Mae and Freddie Mac than the original 10% dividend. As for the documents, they state that there is nothing in there that would prove otherwise. The second narrative is told by plaintiffs, who state that there have been very large financial windfalls. It has just been shown in an exposition of three statements made by DoJ lawyers that the data analysis shows that the defense's claims are erroneous. DoJ reports an average annual return (7.5%) that is approximately 4 times lower than the accurate value (26-28%). They also report that the GSEs are better off with the NWS than their original 10% dividend. Analysis has showed that this is also false: the GSEs would have paid 65-83% less if the original deal were upheld.
So why is this analysis important for current and potential investors? It boils down to motivation. Plaintiffs proclaim collusion (impure motives), while Treasury and FHFA maintain pure motives. It appears that the conclusion of the analysis performed here agrees with documents that Treasury is seeking to exclude from the Court. Treasury's pre-decisional document on the 3rd Amendment says it best: "We are putting in a better deal for taxpayers...pays the taxpayer back all the profit they make -- not just a 10 percent dividend...The new arrangement...makes sure that all profit goes where it should, to repaying taxpayers. " If this truly was the motivation for Treasury's actions and they are lying to the Court (which it will have to decide), then there are serious ramifications for investors. First, the DoJ lawyers will loose a lot of credibility before the Court (i.e., the judges will be much more skeptical of their arguments). Second, the outcome of the case will increase even more in the favor of the plaintiffs. A win in the Court of Appeals would drive the stock price higher and increase the likelyhood of Fannie Mae and Freddie Mac being long-term deep value investments. Investors should stay tuned to the Court to see how they deal with DoJ's brief and rule on the 53 unsealed documents. Admitting these 53 documents will likely seal the outcome of the Court's ruling for the plaintiffs, which was already very strong.
Appendix A: GSE Financial Data
Table A1: Freddie Mac bailout financial data.
Table A2: Fannie Mae bailout financial data.
Appendix B: Dividend Rate Calculations and Amortization Tables
Table B1: Calculated dividend rate for Fannie Mae and Freddie Mac.
Table B2: Amortization table for Combined GSEs at 7.5% dividend rate.
Table B3: Amortization table for Freddie Mac at 8.25% dividend rate.
Table B4: Amortization table for Fannie Mae at 7.25% dividend rate.
Table B5: Amortization table for Combined GSEs at 5.0% dividend rate.
Table B6: Amortization table for Freddie Mac at 5.0% dividend rate.
Table B7: Amortization table for Fannie Mae at 5.0% dividend rate.
Table B8: Amortization table for Combined GSEs at 12.0% dividend rate.
Table B9: Amortization table for Freddie Mac at 12.0% dividend rate.
Table B10: Amortization table for Fannie Mae at 12.0% dividend rate.
Appendix C: Dividend Calculations
Table C1: Principal and dividends of Freddie Mac under three different scenarios: 1) NWS, 2) 10% dividend (all leftover profits used for amortization), 3) 10% dividend (no leftover profits used for amortization)
Table C2: Principal and dividends of Fannie Mae under three different scenarios: 1) NWS, 2) 10% dividend (all leftover profits used for amortization), 3) 10% dividend (no leftover profits used for amortization)
Disclosure: I am/we are long FNMA, FMCC.
I wrote this article myself, and it expresses my own opinions. I am not receiving compensation for it (other than from Seeking Alpha). I have no business relationship with any company whose stock is mentioned in this article.
Editor's Note: This article discusses one or more securities that do not trade on a major U.S. exchange. Please be aware of the risks associated with these stocks.
Recent FNMA News
- Fannie Mae Releases February 2026 Monthly Summary • PR Newswire (US) • 03/26/2026 08:05:00 PM
- Fannie Mae Announces Results of Tender Offer for Any and All of Certain CAS Notes • PR Newswire (US) • 03/02/2026 02:00:00 PM
- Fannie Mae Releases January 2026 Monthly Summary • PR Newswire (US) • 02/26/2026 09:05:00 PM
- Fannie Mae Announces Tender Offer for Any and All of Certain CAS Notes • PR Newswire (US) • 02/23/2026 02:00:00 PM
